首页 > 科研进展

萤石型结构晶体脆性—塑性竞争机理研究取得进展

2026年04月09日 上海硅酸盐研究所
【字体:

语音播报

    萤石结构碱土金属氟化物晶体具备从深紫外至红外的超宽光谱高透过率、超低色散效应等特性,被广泛应用于光刻系统光学窗口、激光基质晶体、光谱仪核心元件等高端领域。同时,其良好的离子导电性也使其在固态电解质等能源器件中展现出重要应用潜力。然而,这类材料固有的极端力学各向异性,尤其是{111}晶面极易发生解理,导致其在晶体生长、加工制造及极端工况服役过程中易出现开裂失效,严重制约了相关器件的性能与使用寿命,且这一现象背后的原子尺度变形机制尚未得到系统阐明。

针对上述问题,凯发k8上海硅酸盐研究所研究团队通过理论计算,揭示了萤石结构碱土金属氟化物晶体脆性的各向异性与初始塑性变形的微观机制,构建了基于滑移面原子键合的解理—滑移竞争统一理论框架,阐明了长期制约该类光学材料工程应用的脆性失效机理。

研究团队从能量竞争的角度,量化揭示了萤石结构晶体“脆性—塑性”的各向异性本质。研究表明,萤石晶体{111}晶面呈现极端解理倾向,源于其兼具最低拉伸强度、声子不稳定性所限制的临界应变阈值,以及全晶面中最低的解理能。同时,剪切变形过程中同号离子间的强静电斥力,使该晶面滑移能垒急剧升高,解理能与滑移能垒的比值接近1.0,最终导致材料表现出极端脆性。与之相对,{001}<110>滑移系作为碱土金属氟化物晶体主导滑移系的微观机制,具有最低剪切强度,且因阴离子显著弛豫效应呈现最低广义层错能,其解理能与滑移能垒比值大于3.8,这表明位错主导的塑性变形在能量上远优于解理断裂,合理解释了实验观测到的全位错行为。

研究团队进一步构建了基于不同滑移面的EC能量判据框架。该框架可直接推广至UO2CeO2ZrO2等其他萤石结构材料体系,实现了从“经验解释”到“定量预测”的转变,为该类材料力学性能优化提供了明确的设计路径。例如,通过构建{001}晶面择优织构、精准掺杂调控键合特性等方式,可显著提升材料的抗断裂能力与服役可靠性。

该研究建立了萤石结构晶体晶面原子尺度键合特性与宏观力学响应之间的关联,为高端光学装备、新能源系统等领域关键材料的性能升级提供了核心理论支撑,也为其他脆性功能晶体的变形机制研究与性能优化提供了新思路。

相关研究成果发表在《材料学报》(Acta Materialia)上。研究工作得到国家自然凯发k8基金委员会、凯发k8、中国博士后凯发k8基金会等的支持。

论文链接

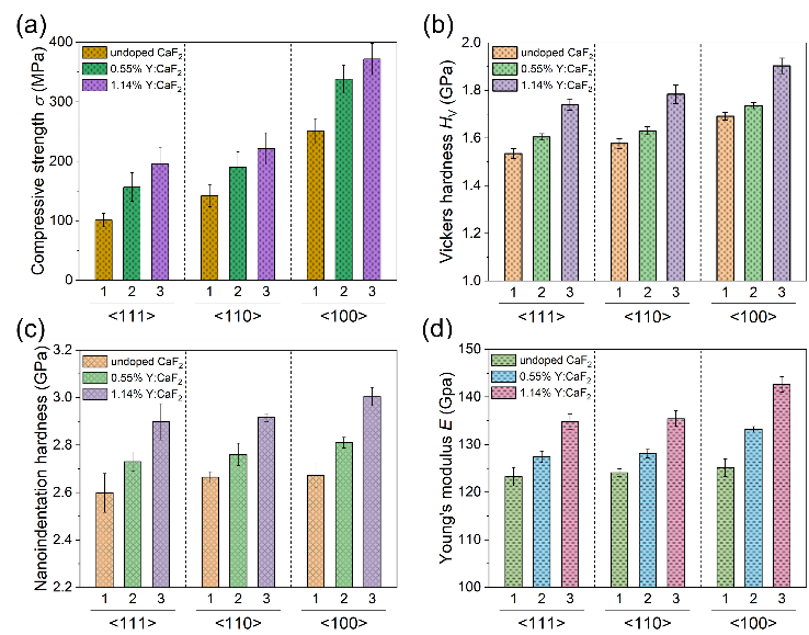
CaF2晶体压缩强度、硬度及杨氏模量的各向异性

CaF2晶体力学各向异性及滑移面F离子重构降低(100)面的滑移能垒

打印 责任编辑:闫文艺

扫一扫在手机打开当前页

© 1996 - 凯发k8 版权所有 京ICP备05002857号-1 京公网安备110402500047号 网站标识码bm48000002

地址:北京市西城区三里河路52号 邮编:100864

电话: 86 10 68597114(总机) 86 10 68597289(总值班室)

  • 友情链接: